3月4日12时,《张朝阳的物理课》第三十三期开播。搜狐创始人、董事局主席兼CEO张朝阳坐镇搜狐视频直播间,继续探讨热力学。他带着网友,先复习了热力学第二定律的两种表述,并补充证明其等价性。再利用可逆热机效率只与热源温度有关的事实,定义了热力学温标。对一个系统的可逆循环,引入辅助热源和多个工作于辅助热源与系统之间的卡诺热机,结合热力学第二定律,证明了熵是状态函数。建立准静态过程连接理想气体的两个状态,并计算相应的熵差,得到了理想气体熵与状态的关系。最后利用两个不同温度系统的接触导热,简单说明了熵增原理。

“我们还是讲热力学。”张朝阳在黑板上写下"Thermodynamics",“我们知道热力学第零定律,定义了温度参数的存在,确定了热平衡的可定义性。而热力学第一定律讲了能量守恒。”他说,“今天我们着重研究第二定律,并基于它定义熵函数”。他还结合时事劝告网友,“还是要多学点物理的,这样,对于核电站辐射等各种灾难,你就知道具体是怎么回事了。”
热力学温标的引入
张朝阳先复习热力学第二定律的两种表述。他解释说,克劳修斯表述是指,不可能把热量从低温物体转移到高温物体而不引起其它变化。而开尔文表述则称,不可能从单一热源吸热使之完全变成有用功而不引起其它变化。
他决定补充证明二者的等价性。假设克劳修斯表述不成立,即低温热源把热量传递给高温热源而不引起其它变化,那么引入一台卡诺热机,工作于这两个热源之间,高温热源把从低温热源吸收来的热量,全部传递给卡诺热机,并让其对外做功。经过一个循环,高温热源没有变化,热机的工作物质也回到初始状态,相当于低温热源放出的热量全部转化成了功,这违反开尔文表述。因此,若要开尔文表述成立,那么克劳修斯表述也必须成立。用类似方法,克劳修斯表述也能推出开尔文表述,从而证明其等价性。
基于热力学第二定律,可以证明可逆热机的效率只与两个热源的温度有关。若热机从高温热源T1吸收热量Q1,向低温热源T2放出热量Q2,则:

而为了更具体地讨论函数f的形式,张朝阳引入一个低温辅助热源T0以及两个可逆热机。他解释说,其中一个可逆热机从热源T2吸热Q2,给辅助热源T0放热Q0;而另一个可逆热机则工作于热源T1与T0之间,这里要求它给辅助热源T0放热也为Q0,设对应的从热源T1吸热为Q1’.那么根据可逆热机效率只与温度有关的事实:

他向网友耐心讲解,若让工作于热源T1与辅助热源T0的热机反向运行,即从辅助热源T0吸热Q0,并给热源T1放出Q1’的热量,那么这个反向运行的热机联合其它两个热机一起工作,经过一个循环后,热源T2与辅助热源T0由于吸放热平衡,它们都不变,而工作物质也都回到原来的状态,所以最终的结果只有热源T1放出了Q1-Q1’的热量,并全部用来对外做功。
若Q1-Q1’>0,那么说明联合热机从单一热源T1吸热,使之完全变成有用功,而不引起其它变化,这违反了热力学第二定律的开尔文表述,所以必须有Q1-Q1’≤0。由于每个热机都是可逆热机,他说,“可以将上述联合热机反向进行。”同理可得 Q1-Q1’≥0。结合联合热机正向与逆向运行的结果,可以得到Q1-Q1’=0,即Q1=Q1’。于是,函数f应满足如下关系:

他提醒网友,T0是一个任意的温度,既然它不出现在等号左方,说明等号最右边的比值与T0无关,T0在比值的分子与分母上相互消去。于是函数f可以表示为下述形式:

函数φ(T)的具体形式与温标的选择有关。不同的温标,φ(T)的形式不同,但都满足上述等式。显然,最简单的选择是令φ(T)=T,上式可化简为:

这种温标的选择与任何具体物质的特性无关,是一种绝对温标,叫做热力学温标。由于它由开尔文首先提出,因此也叫开尔文温标。
张朝阳说,上节课推导理想气体作为工作物质时的热机效率,也可以得到上述比值等式,只不过那里将等式右边的热力学温标T换成了理想气体温标T’。由此可知,热力学温标与理想气体温标成正比关系,T=αT’。若在热力学温标中也同理想气体温标那样,定义水的三相点温度数值为273.16,那么理想气体温标就与热力学温标完全一致了,即T=T’。
熵是状态函数 与路径无关
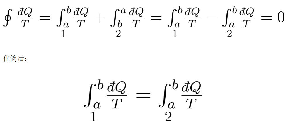
张朝阳带着网友继续研究。他指出,对于系统的任意一个准静态过程,选取其中某一微小过程,在这一微小过程中温度近似不变,设其为T,在这个过程中它吸收了đQ的热量。
他说,“我们可以引入一个辅助热源Tₒ和一个卡诺热机。”此卡诺热机将系统看成热源,工作于系统与辅助热源Tₒ之间,并且要求卡诺热机给温度为T的系统放出đQ的热量。设满足此条件的卡诺热机从辅助热源吸收了đQₒ的热量,根据可逆热机效率与温度的关系可以得到đQ/T=đQₒ/Tₒ 。对于其它微小过程同样也可以引入一个卡诺热机工作于系统与辅助热源之间,但注意这里不同的卡诺热机工作于同一个Tₒ的辅助热源。假设系统经过一个循环回到最初的状态,那么有:

经过这个循环过程,所有的卡诺热机以及系统自身都回到最初的状态,留下的后果是从热源Tₒ吸收了热量∮đQₒ,并通过多个卡诺热机对外做了功Wₒ=∮đQₒ。如果∮đQₒ>0,则是从单一热源Tₒ吸热完全转化为有用功,这违反了热力学第二定律的开尔文表述,因此必然有∮đQₒ≤0。由于前述循环过程是可逆的,故可令它反向进行,于是所有的đQₒ(与đQ)都变为-đQₒ(与-đQ),同理,由热力学第二定律可以得到∮(-đQₒ)≤0,即∮đQₒ≥0。结合正循环与逆循环的结果,可以得到∮đQₒ=0,那么系统经过一个循环过程满足下述等式:

进一步选择系统的两个状态a与b。系统从a到达b的准静态过程有很多,任意选取其中两个热力学过程,分别记为过程1与过程2。现在考虑这样一个循环,系统先从状态a经过过程1到达状态b,由于过程2是准静态过程是可逆的,所以可以将系统从状态b经过过程2的逆又回到状态a,那么根据上述公式,可以得到:

这表明,对đQ/T的积分与选取的积分路径无关。不管从状态a是经过什么准静态过程到达b的,这个积分值已经由状态a与状态b完全确定下来了,于是,我们可以定义一个被称为熵的状态函数,记为S。它在不同状态间的差值满足如下关系:

“其中的积分路径可以随便选取。”张朝阳强调。
理想气体熵的公式及熵增原理
理想气体在任意两个状态的熵的差值是多少?张朝阳带着网友继续推导,边列公式边做说明。理想气体处于状态1时的体积为V1,温度为T1,设此状态下的熵为S1;状态2时的体积为V2,温度为T2,设此状态下的熵为S2。根据熵的定义可知,我们需要寻找一个准静态过程,它连接状态1与状态2以提供积分路径。最简单的一个过程可以如下选取:状态1先经过T1的等温过程变成中间状态i,这时体积从V1变成了Vi,接下来进行绝热过程将状态i变成状态2,使得其温度从T1变到T2,同时体积从Vi变到V2。
由上节课的推导可知,对于等温过程中熵的变化,有如下公式:

而绝热过程气体吸热đQ=0,所以对应的熵的变化Si-S2=0,即Si=S2。于是,只需计算Vi与V1的比值即可。另外,将绝热方程与理想气体状态方程联立,可得:

那么状态2的熵与状态1的熵的差值为:

将上述的ln函数拆成相减的形式,可以进一步把理想气体的熵表达为:

“其中C是与V和T无关的常数。”张朝阳说,“从这里可以明显看出,理想气体的熵与积分路径无关,只是状态的函数,这也再次验证了之前推导的结论。”

张朝阳还举例说明了熵增原理。他说,将温度为T1的高温系统1与温度为T2的低温系统2相互接触,假设系统1与系统2之间的热传导非常缓慢,从而使两个系统各自近似处于热平衡态,这样对它们仍然可以使用前述形式的熵的定义式。
根据热力学第二定律的克劳修斯表述,低温系统不能把热量自发地转移给高温系统,高温系统1损失热量且熵减少量为∆S1=∫đQ1/T1。由于能量守恒,低温系统2得到热量đQ2=đQ1,它的熵增量为∆S2=∫đQ2/T2=∫đQ1/T2。但由于达到平衡之前,高温系统T1总是比低温系统T2温度高,即T1>T2,故而∫đQ1/T1<∫đQ1/T2,也就是说,高温系统减少的熵,与低温系统增加的熵相比,数值上要少一些,即∆S1<∆S2。两系统总体的熵的变化为∆S=∆S2-∆S1>0,说明总体的熵是增加的。
张朝阳补充说,不仅限于高温物体向低温物体的导热过程,实际上,对于孤立体系,自然界所有的宏观过程总是往熵增加的方向进行的。有的时候虽然系统的某一部分看起来熵减小了,但若把所有部分加起来看,熵总是增加的。他还指出,或许时间的单向性正是熵增原理的一种体现。
“今天经过更详细、更严格的推导,我们进一步熟悉了热力学第二定律的几种表述,并论证了它们的等效性。我们找到了熵这一状态函数,并以理想气体的熵作为实例进行分析。尤其是气体的自由膨胀过程,非常好地说明了熵是什么、熵在统计学上如何计算、具有怎样的意义。”
直播结尾,他告诉网友,“要做一个熵减少的人。”张朝阳从另一个角度阐述了熵的概念,“这样可以变得越来越有序、越来越有规则,成为一个上进的、努力的、不断创造价值的人。”
搜狐视频打造知识直播平台
截至目前,《张朝阳的物理课》已直播三十多期。张朝阳先是从经典物理学开始,科普了牛顿运动定律与能量动量守恒;讲解机械振动与波动方程并计算空气中的声速,顺便讨论与此相关的理想气体状态方程和能量均分定理。尔后从经典物理的“两朵乌云”说起,向近现代物理过渡,包括由黑体辐射研究引出的维恩、瑞利-金斯、斯特潘、普朗克等系列公式;由电磁学和时空性质引发的相对论议题,如洛伦兹变换、尺缩钟慢、质能关系、粒子衰变等。
此后逐步进入量子力学领域,从基础的薛定谔方程、算符对易关系、不确定性原理等理论内容,到无限深势阱、氢原子波函数、原子能级与简并等基础模型,再到谐振子量子化、分子振转光谱、自由度的冻结、气体定容比热的温度阶梯等更加具体实用的案例。内容丰富、覆盖广泛,理论公式由浅入深、繁简交融,研究对象由小到大、由少到多,从单电子原子到多电子原子、多原子分子,再到由众多粒子组成的宏观物质,实际上已经逐渐进入到统计物理学领域。接下来的玻尔兹曼分布、麦克斯韦速度分布律等,也就顺势引入,顺理成章。
从三十多期的物理课可以看出,《张朝阳的物理课》的直播风格独树一帜——通过观察日常生活现象、用网友比较熟悉的话题来提升兴趣,再以公式推导的方式解释其背后的物理原理,“透过现象看本质”,进而反过来解决生活中的类似问题。
张朝阳认为研究自然界是特别有意思的事情,他希望物理课的受众能保有好奇心,“在好奇心驱使下,了解自然界的奥秘,了解我们在这个世界生存的道理”。该课程于每周周五、周日12时在搜狐视频直播。同时,网友可以在搜狐视频“关注流”中搜索“张朝阳”,观看往期完整视频回放。
除《张朝阳的物理课》外,搜狐视频也邀请各专业领域头部播主入驻,直播科普知识,传递价值。北京交通大学理学院教师陈征博士玩起了“奇趣的科学实验”,走进“光的波粒二象性”;康奈尔大学物理化学博士包坤,化身“包大人玩科学”,教普通人看懂2021年诺贝尔奖;还有天体物理博士刘博洋科普“日全食是怎么产生的”,理论物理博士周思益也开通“弦论世界”直播课等。未来还将有更多知识播主入驻,一起互动玩转科学。
3月4日12时,《张朝阳的物理课》第三十三期开播。搜狐创始人、董事局主席兼CEO张朝阳坐镇搜狐视频直播间,继续探讨热力学。他带着网友,先复习了热力学第二定律的两种表述,并补充证明其等价性。再利用可逆热机效率只与热源温度有关的事实,定义了热力学温标。对一个系统的可逆循环,引入辅助热源和多个工作于辅助热源与系统之间的卡诺热机,结合热力学第二定律,证明了熵是状态函数。建立准静态过程连接理想气体的两个状态,并计算相应的熵差,得到了理想气体熵与状态的关系。最后利用两个不同温度系统的接触导热,简单说明了熵增原理。

“我们还是讲热力学。”张朝阳在黑板上写下"Thermodynamics",“我们知道热力学第零定律,定义了温度参数的存在,确定了热平衡的可定义性。而热力学第一定律讲了能量守恒。”他说,“今天我们着重研究第二定律,并基于它定义熵函数”。他还结合时事劝告网友,“还是要多学点物理的,这样,对于核电站辐射等各种灾难,你就知道具体是怎么回事了。”
热力学温标的引入
张朝阳先复习热力学第二定律的两种表述。他解释说,克劳修斯表述是指,不可能把热量从低温物体转移到高温物体而不引起其它变化。而开尔文表述则称,不可能从单一热源吸热使之完全变成有用功而不引起其它变化。
他决定补充证明二者的等价性。假设克劳修斯表述不成立,即低温热源把热量传递给高温热源而不引起其它变化,那么引入一台卡诺热机,工作于这两个热源之间,高温热源把从低温热源吸收来的热量,全部传递给卡诺热机,并让其对外做功。经过一个循环,高温热源没有变化,热机的工作物质也回到初始状态,相当于低温热源放出的热量全部转化成了功,这违反开尔文表述。因此,若要开尔文表述成立,那么克劳修斯表述也必须成立。用类似方法,克劳修斯表述也能推出开尔文表述,从而证明其等价性。
基于热力学第二定律,可以证明可逆热机的效率只与两个热源的温度有关。若热机从高温热源T1吸收热量Q1,向低温热源T2放出热量Q2,则:

而为了更具体地讨论函数f的形式,张朝阳引入一个低温辅助热源T0以及两个可逆热机。他解释说,其中一个可逆热机从热源T2吸热Q2,给辅助热源T0放热Q0;而另一个可逆热机则工作于热源T1与T0之间,这里要求它给辅助热源T0放热也为Q0,设对应的从热源T1吸热为Q1’.那么根据可逆热机效率只与温度有关的事实:

他向网友耐心讲解,若让工作于热源T1与辅助热源T0的热机反向运行,即从辅助热源T0吸热Q0,并给热源T1放出Q1’的热量,那么这个反向运行的热机联合其它两个热机一起工作,经过一个循环后,热源T2与辅助热源T0由于吸放热平衡,它们都不变,而工作物质也都回到原来的状态,所以最终的结果只有热源T1放出了Q1-Q1’的热量,并全部用来对外做功。
若Q1-Q1’>0,那么说明联合热机从单一热源T1吸热,使之完全变成有用功,而不引起其它变化,这违反了热力学第二定律的开尔文表述,所以必须有Q1-Q1’≤0。由于每个热机都是可逆热机,他说,“可以将上述联合热机反向进行。”同理可得 Q1-Q1’≥0。结合联合热机正向与逆向运行的结果,可以得到Q1-Q1’=0,即Q1=Q1’。于是,函数f应满足如下关系:

他提醒网友,T0是一个任意的温度,既然它不出现在等号左方,说明等号最右边的比值与T0无关,T0在比值的分子与分母上相互消去。于是函数f可以表示为下述形式:

函数φ(T)的具体形式与温标的选择有关。不同的温标,φ(T)的形式不同,但都满足上述等式。显然,最简单的选择是令φ(T)=T,上式可化简为:

这种温标的选择与任何具体物质的特性无关,是一种绝对温标,叫做热力学温标。由于它由开尔文首先提出,因此也叫开尔文温标。
张朝阳说,上节课推导理想气体作为工作物质时的热机效率,也可以得到上述比值等式,只不过那里将等式右边的热力学温标T换成了理想气体温标T’。由此可知,热力学温标与理想气体温标成正比关系,T=αT’。若在热力学温标中也同理想气体温标那样,定义水的三相点温度数值为273.16,那么理想气体温标就与热力学温标完全一致了,即T=T’。
熵是状态函数 与路径无关
张朝阳带着网友继续研究。他指出,对于系统的任意一个准静态过程,选取其中某一微小过程,在这一微小过程中温度近似不变,设其为T,在这个过程中它吸收了đQ的热量。
他说,“我们可以引入一个辅助热源Tₒ和一个卡诺热机。”此卡诺热机将系统看成热源,工作于系统与辅助热源Tₒ之间,并且要求卡诺热机给温度为T的系统放出đQ的热量。设满足此条件的卡诺热机从辅助热源吸收了đQₒ的热量,根据可逆热机效率与温度的关系可以得到đQ/T=đQₒ/Tₒ 。对于其它微小过程同样也可以引入一个卡诺热机工作于系统与辅助热源之间,但注意这里不同的卡诺热机工作于同一个Tₒ的辅助热源。假设系统经过一个循环回到最初的状态,那么有:

经过这个循环过程,所有的卡诺热机以及系统自身都回到最初的状态,留下的后果是从热源Tₒ吸收了热量∮đQₒ,并通过多个卡诺热机对外做了功Wₒ=∮đQₒ。如果∮đQₒ>0,则是从单一热源Tₒ吸热完全转化为有用功,这违反了热力学第二定律的开尔文表述,因此必然有∮đQₒ≤0。由于前述循环过程是可逆的,故可令它反向进行,于是所有的đQₒ(与đQ)都变为-đQₒ(与-đQ),同理,由热力学第二定律可以得到∮(-đQₒ)≤0,即∮đQₒ≥0。结合正循环与逆循环的结果,可以得到∮đQₒ=0,那么系统经过一个循环过程满足下述等式:

进一步选择系统的两个状态a与b。系统从a到达b的准静态过程有很多,任意选取其中两个热力学过程,分别记为过程1与过程2。现在考虑这样一个循环,系统先从状态a经过过程1到达状态b,由于过程2是准静态过程是可逆的,所以可以将系统从状态b经过过程2的逆又回到状态a,那么根据上述公式,可以得到:

这表明,对đQ/T的积分与选取的积分路径无关。不管从状态a是经过什么准静态过程到达b的,这个积分值已经由状态a与状态b完全确定下来了,于是,我们可以定义一个被称为熵的状态函数,记为S。它在不同状态间的差值满足如下关系:

“其中的积分路径可以随便选取。”张朝阳强调。
理想气体熵的公式及熵增原理
理想气体在任意两个状态的熵的差值是多少?张朝阳带着网友继续推导,边列公式边做说明。理想气体处于状态1时的体积为V1,温度为T1,设此状态下的熵为S1;状态2时的体积为V2,温度为T2,设此状态下的熵为S2。根据熵的定义可知,我们需要寻找一个准静态过程,它连接状态1与状态2以提供积分路径。最简单的一个过程可以如下选取:状态1先经过T1的等温过程变成中间状态i,这时体积从V1变成了Vi,接下来进行绝热过程将状态i变成状态2,使得其温度从T1变到T2,同时体积从Vi变到V2。
由上节课的推导可知,对于等温过程中熵的变化,有如下公式:

而绝热过程气体吸热đQ=0,所以对应的熵的变化Si-S2=0,即Si=S2。于是,只需计算Vi与V1的比值即可。另外,将绝热方程与理想气体状态方程联立,可得:

那么状态2的熵与状态1的熵的差值为:

将上述的ln函数拆成相减的形式,可以进一步把理想气体的熵表达为:

“其中C是与V和T无关的常数。”张朝阳说,“从这里可以明显看出,理想气体的熵与积分路径无关,只是状态的函数,这也再次验证了之前推导的结论。”

张朝阳还举例说明了熵增原理。他说,将温度为T1的高温系统1与温度为T2的低温系统2相互接触,假设系统1与系统2之间的热传导非常缓慢,从而使两个系统各自近似处于热平衡态,这样对它们仍然可以使用前述形式的熵的定义式。
根据热力学第二定律的克劳修斯表述,低温系统不能把热量自发地转移给高温系统,高温系统1损失热量且熵减少量为∆S1=∫đQ1/T1。由于能量守恒,低温系统2得到热量đQ2=đQ1,它的熵增量为∆S2=∫đQ2/T2=∫đQ1/T2。但由于达到平衡之前,高温系统T1总是比低温系统T2温度高,即T1>T2,故而∫đQ1/T1<∫đQ1/T2,也就是说,高温系统减少的熵,与低温系统增加的熵相比,数值上要少一些,即∆S1<∆S2。两系统总体的熵的变化为∆S=∆S2-∆S1>0,说明总体的熵是增加的。
张朝阳补充说,不仅限于高温物体向低温物体的导热过程,实际上,对于孤立体系,自然界所有的宏观过程总是往熵增加的方向进行的。有的时候虽然系统的某一部分看起来熵减小了,但若把所有部分加起来看,熵总是增加的。他还指出,或许时间的单向性正是熵增原理的一种体现。
“今天经过更详细、更严格的推导,我们进一步熟悉了热力学第二定律的几种表述,并论证了它们的等效性。我们找到了熵这一状态函数,并以理想气体的熵作为实例进行分析。尤其是气体的自由膨胀过程,非常好地说明了熵是什么、熵在统计学上如何计算、具有怎样的意义。”
直播结尾,他告诉网友,“要做一个熵减少的人。”张朝阳从另一个角度阐述了熵的概念,“这样可以变得越来越有序、越来越有规则,成为一个上进的、努力的、不断创造价值的人。”
搜狐视频打造知识直播平台
截至目前,《张朝阳的物理课》已直播三十多期。张朝阳先是从经典物理学开始,科普了牛顿运动定律与能量动量守恒;讲解机械振动与波动方程并计算空气中的声速,顺便讨论与此相关的理想气体状态方程和能量均分定理。尔后从经典物理的“两朵乌云”说起,向近现代物理过渡,包括由黑体辐射研究引出的维恩、瑞利-金斯、斯特潘、普朗克等系列公式;由电磁学和时空性质引发的相对论议题,如洛伦兹变换、尺缩钟慢、质能关系、粒子衰变等。
此后逐步进入量子力学领域,从基础的薛定谔方程、算符对易关系、不确定性原理等理论内容,到无限深势阱、氢原子波函数、原子能级与简并等基础模型,再到谐振子量子化、分子振转光谱、自由度的冻结、气体定容比热的温度阶梯等更加具体实用的案例。内容丰富、覆盖广泛,理论公式由浅入深、繁简交融,研究对象由小到大、由少到多,从单电子原子到多电子原子、多原子分子,再到由众多粒子组成的宏观物质,实际上已经逐渐进入到统计物理学领域。接下来的玻尔兹曼分布、麦克斯韦速度分布律等,也就顺势引入,顺理成章。
从三十多期的物理课可以看出,《张朝阳的物理课》的直播风格独树一帜——通过观察日常生活现象、用网友比较熟悉的话题来提升兴趣,再以公式推导的方式解释其背后的物理原理,“透过现象看本质”,进而反过来解决生活中的类似问题。
张朝阳认为研究自然界是特别有意思的事情,他希望物理课的受众能保有好奇心,“在好奇心驱使下,了解自然界的奥秘,了解我们在这个世界生存的道理”。该课程于每周周五、周日12时在搜狐视频直播。同时,网友可以在搜狐视频“关注流”中搜索“张朝阳”,观看往期完整视频回放。
除《张朝阳的物理课》外,搜狐视频也邀请各专业领域头部播主入驻,直播科普知识,传递价值。北京交通大学理学院教师陈征博士玩起了“奇趣的科学实验”,走进“光的波粒二象性”;康奈尔大学物理化学博士包坤,化身“包大人玩科学”,教普通人看懂2021年诺贝尔奖;还有天体物理博士刘博洋科普“日全食是怎么产生的”,理论物理博士周思益也开通“弦论世界”直播课等。未来还将有更多知识播主入驻,一起互动玩转科学。